[基本概念] 设
![]()
是一个给定的无穷序列,则记号
=
, qn≠0
(n=1,
)
称为无穷乘积.
![]()
称为部分乘积.如果当n→∞时部分乘积序列{Pn}具有有穷的或无穷的(但有确定的正号或负号)极限
Pn=P
则P称为无穷乘积的值,记作
P=
=
, qn≠0(n=1,
)
若无穷乘积具有非零有穷值P,则称为收敛的,否则称为发散的.若P=0,则称为发散于零.
为使无穷乘积的值等于零,只要乘积的因子中有一个是零就够了,在后面的讨论中,总是假定qn≠0(n=1,
).
![]()
称为无穷乘积的余乘积.
[无穷乘积收敛判别法]
(1)
无穷乘积
收敛的一个必要条件是:
πm=1或
qn=1
式中πm=
.
(2) 无穷乘积
收敛的充分必要条件是:级数
收敛.设L是前面级数的和,则P=eL.
(3) 设qn=1+an(n=1,2,…),对充分大的n,若有an>0(或an<0),则
=
收敛的充分必要条件是:级数
收敛.
(4) 若级数
与级数
同时收敛,则
=
收敛.
(5) 无穷乘积
或
具有零值的充分必要条件是:级数
或
的和为
.
特别,如果an<0且级数
发散,或级数
收敛而级数
发散,那末无穷乘积
具有零值.
(6) 无穷乘积
绝对收敛的充分必要条件是:级数
绝对收敛.
[函数项无穷乘积的一致收敛] 如果函数序列
Pm(x)=
(m=1,
)
一致收敛,并且极限不恒为零,那末称函数项无穷乘积
![]()
一致收敛.
如果
在某一区间上一致收敛,且
,那末无穷乘积
也在该区间上一致收敛.
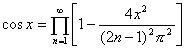
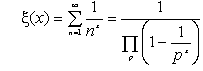
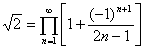
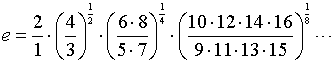
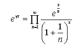
[无穷乘积展开式]




(|
x| <1)
(其中γ为欧拉常数)


![]()
![]()
