§2 解析几何中的基本计算
|
图 形 |
计 算 公 式 |
|
[两点间的距离]
|
平面上 空间中 |
|
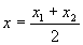
[分线段为定比的分点坐标]
M(x,
y, z)为A1A2的分点,分割比例 |
平面上
空间中 λ>0称为内分, |
|
图 形 |
计 算 公 式 |
|
[平面上三角形的面积]
|
S△= 当S△=0时,A1, A2, A3三点共线 |
|
[平面上多角形的面积]
A1, A2,…,An构成逆时针回路 |
S= 当S =0时,A1, A2,…,An n个点共线 |
|
[空间中四面体的体积]
这里 |
V= 当V =0时,M, A1, A2, A3四个点共面 |
|
[二面角的角度]
M0, M1, A1, A2为空间中不共面的四点,q 为二面角A1-M0M1-A2 (0£q£180°)
|
当M0为原点,
当M0为原点时,
|
|
图 形 |
计 算 公 式 |
|
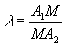
[质点系的重心坐标]
|
重心G的坐标
式中∑表示对i从1到n求和 |