| 第二节 两组资料的比较 | 《预防医学》 |
第二节 两组资料的比较两组资料的比较亦称成组资料的比较。这里介绍两样本秩和检验(Wilcoxon,Mann and Whitney法)。秩和和检验(rank sumtest)的步骤见例21.2。 例21.2测得铅作业与非铅作业工人的血铅值(μmol/L),问两组工人的血铅值有无差别? 表21-3 两组工人血铅值(μmol/L)的比较
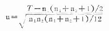
(一)建立假设 H0:两组工人血铅值的总体分布相同 H1:两组工人血铅值的总体分布不同 α=0.05 (二)编秩 将两组数据分别由小到大排列,并统一编秩,不同组的相同数据取其平均秩次,如表21-3中铅作业组与非铅作业组各有一个0.87,应编秩10、11,其平均秩次为(10+11)/2=10.5。 (三)求T 当两样本含量不等时,取较小样本的秩和T;当样本含量相等时,可任取一组的秩和T,本例n1=7,n2=10,则T=93.5。 (四)计算T´ 按T´=n1(n1+n2+1)-T计算T´值,本例T´=7(7+10+1)-93.5=32.5 (五)确定P值,作出推论 1.查表法 n1≤15,n2≤28时查附表21-2等级总和数临界值。以T和T´中较小者与附表21-2数值比较,如大于表中界值时,其P值小地或等于相应的概率。如小于或等于表中界值时,其P值小于或等于相应的概率。本例T=93.5,T´=32.5,n1=7,n2=10,查附表21-2,得P0.01=37,今T´=32.5<37,P<0.01,按α=0.05检验水准拒绝H0,可认为铅作业工人与非铅作业工人血铅值的总体分布不同,铅作业工人的血铅值高于非铅作业工人的血铅值。 2.正态近似法 n1、n2超出附表21-2时,按公式(21.3)计算u值。
因统计量为u,按表19-3所示关系作出判断。
| |||||||||||||||||||||||||||||||||||||||||||||||||||||||
返回目录 |