§3 积分的应用

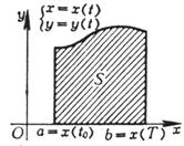
一、求面积

 

       [平面图形面积计算公式]

 

S

  

  曲边梯形

 

 

 

 

 

 

 

S

扇形

 

 

 

S=

        S=2

式中表示上的曲线方程,s表示上的曲线的长度,ds为弧的微分,为曲线重心

  G到旋转轴的距离.

曲面

       

    的区域上

 

 

 

  式中

柱面夹在曲面平面之间

 

 

 

式中C为柱面的准线,ds为曲线C(A,B)上的弧的微

.

 

 

 

 

二、求体积

 

V

 

 式中上的曲线方程

式中A为所旋转的平面图形的面积,为该平面图形重心G到旋转轴(x轴)的距离,此公式对计算环状体积较为方便.重心求法见本节,四

 

 式中S(x)为垂直于x轴的截面面积

  在曲面与区域

  之间

 

空间区域V由下列曲面围成:

(曲面)

 (直柱面)

          (平面)

式中Oxy平面上的区域,它由曲线  围成

 

 

n维空间中凸体体积公式

 

       n维空间的点的坐标为().所谓n维空间中的凸体,是指中任意两点AB的连线仍在中,即设A=B=,A,B,则点.其中

                       , i=1,2,,n

       下面列出几种凸体体积的计算公式.

       [单纯形]  已知n维空间中的n+1个点,包含这n+1个点的最小凸体称为由张成的单纯形,记作,若设n个坐标为

                     ()     i=1,2,,n+1

则单纯形的体积

                    

n=2时为三角形,n=3时为四面体.

       [超立方体]

                     : | |i=1,2,,n

                     V=

       [广义八面体]

       1°1:r, >0, i=1,2,,n

       2°2:r, >0, >0i=1,2,,n-1

             

       [n维球体]

              :

             

    [凸体的线形变换设有线性变换

                     =i=1,2,,n

                     J=det(dij)0

将凸体R映成,则的体积为

这里为该线性变换的雅可比式.

 

四、求重心

 

       [平面图形几何重心坐标的计算公式]

   

几何重心

平面曲线

曲边梯形

      

 [物体总质量与重心坐标的计算公式]

物体形状及密度

总质量M与重心

薄板

是薄板的面密度

物体形状及密度

总质量M与重心

是物体的密度

式中ds 为弧的微分,以上积分为曲线积分。

 

 

五、求转动惯量

 

       [薄板的转动惯量]  Oxy平面内薄板Ω的密度为ρ=ρ(x,y),对于x,y轴,原点O的转动惯量分别为,

 

         

 

 

       [一般物体的转动惯量]  设物体V的密度ρ=ρ(x,y,z).若物体对于坐标平面的转动惯量分别为;物体对于某轴l的转动惯量为;物体对于坐标轴的转动惯量分别;物体对于原点的转动惯量为,

 

 

 

式中r为物体的动点到轴l的距离.

 

      

      

      

 

六、求流体压力

 

       设流体接触面的边缘曲线为y=f(x)(图6.9),流体密度为w,则单侧压力

                    

 

七、求变力所做的功

 

       1°若s为路程,f(s)为变力,则

                    

       2°若s为路程,运动路线为Cf(x,y)为变力,θ为变力f与路线C切线的夹角,则

             

       3°若变力沿坐标轴的三个分力分别为P(x,y,z),Q(x,y,z),R(x,y,z)C为空间运动路线,则