3
.复数的运算
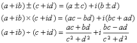
[
代数式运算
]
[
三角式运算
]
设
则
当
r
1
=1
时,得
,这个公式叫做德·莫弗公式
.
[
指数式运算
]
设
则