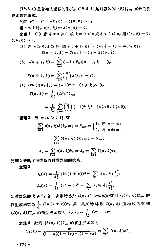
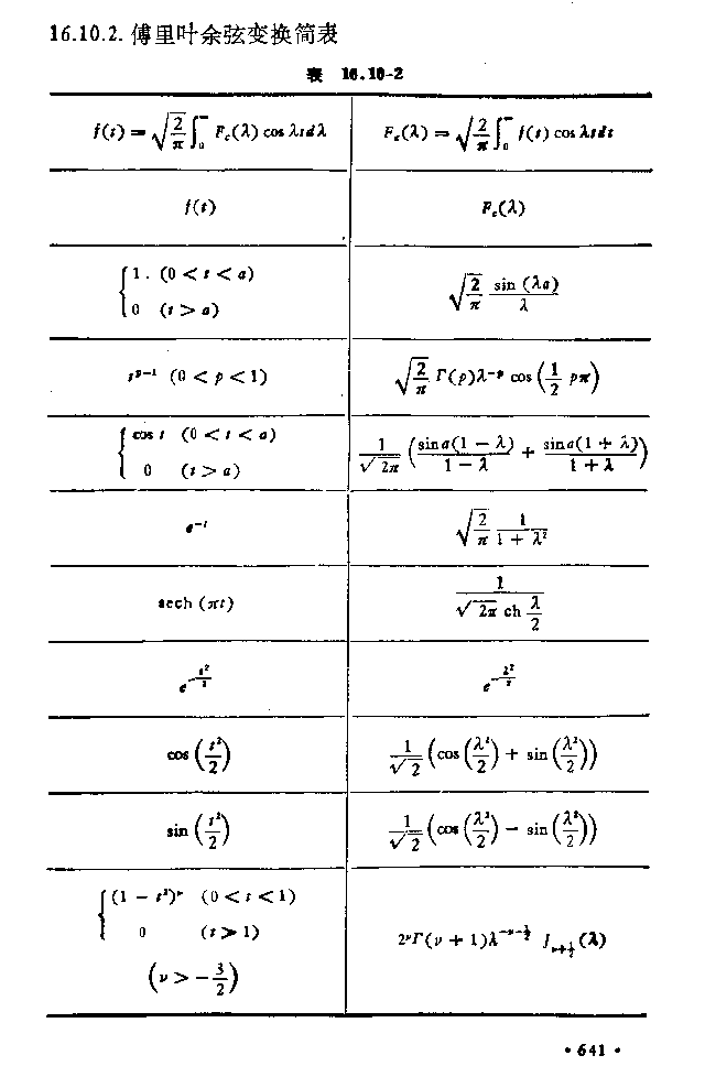
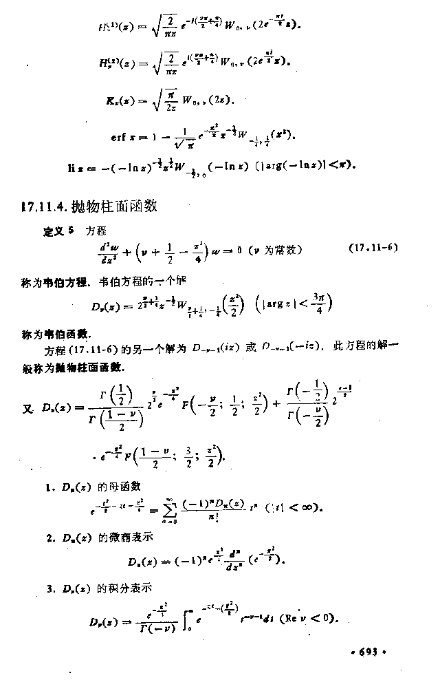
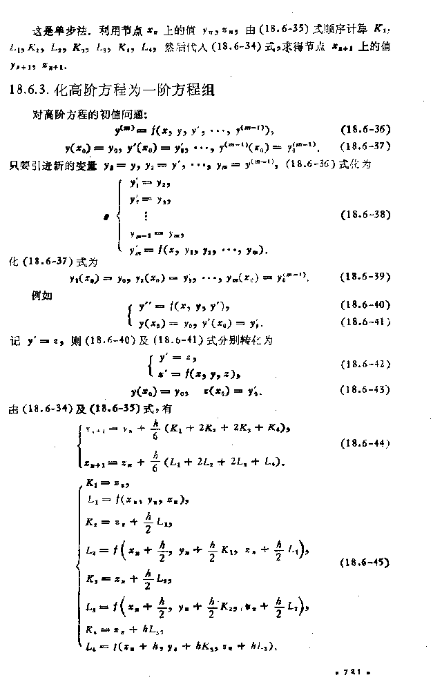
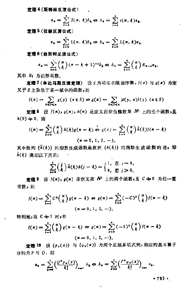
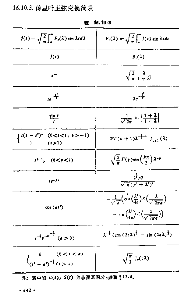
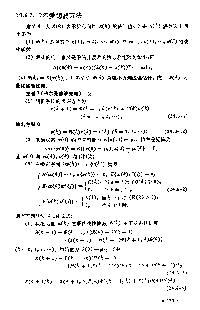
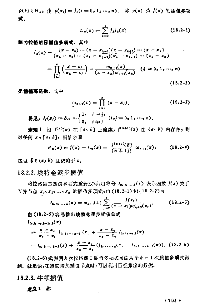
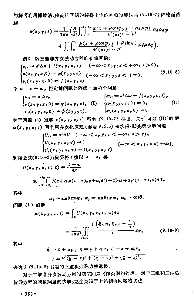
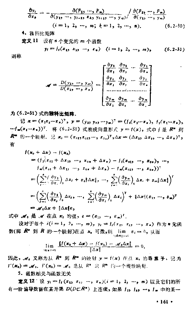
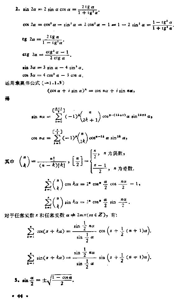
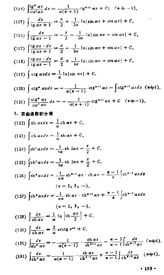
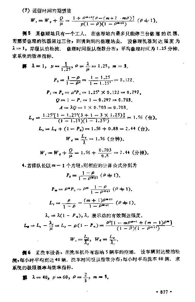
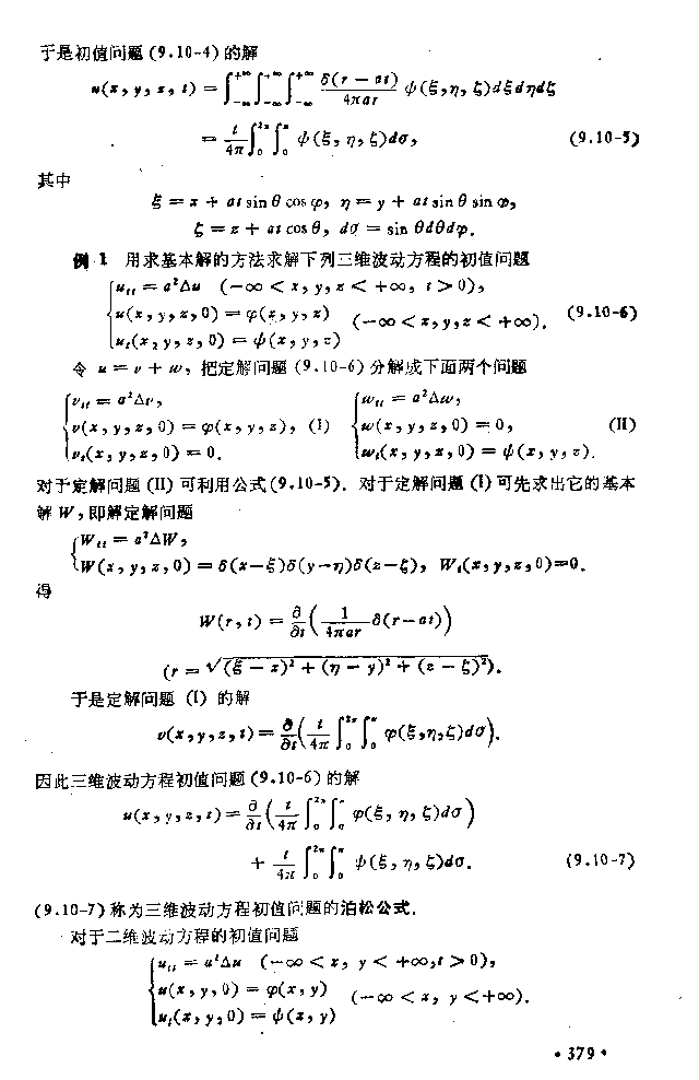
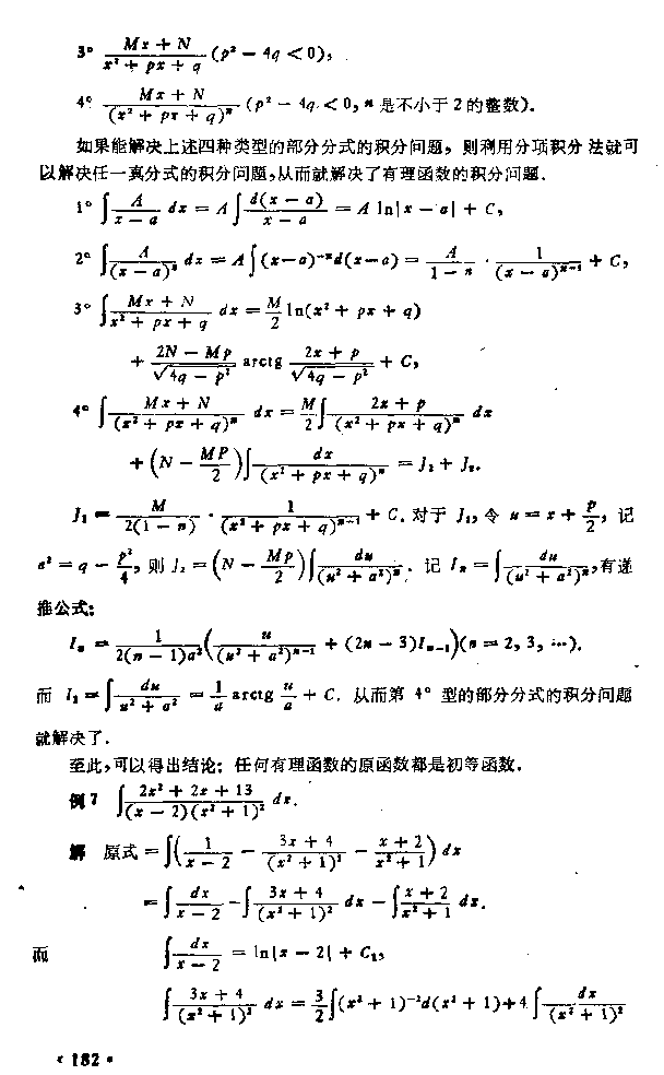
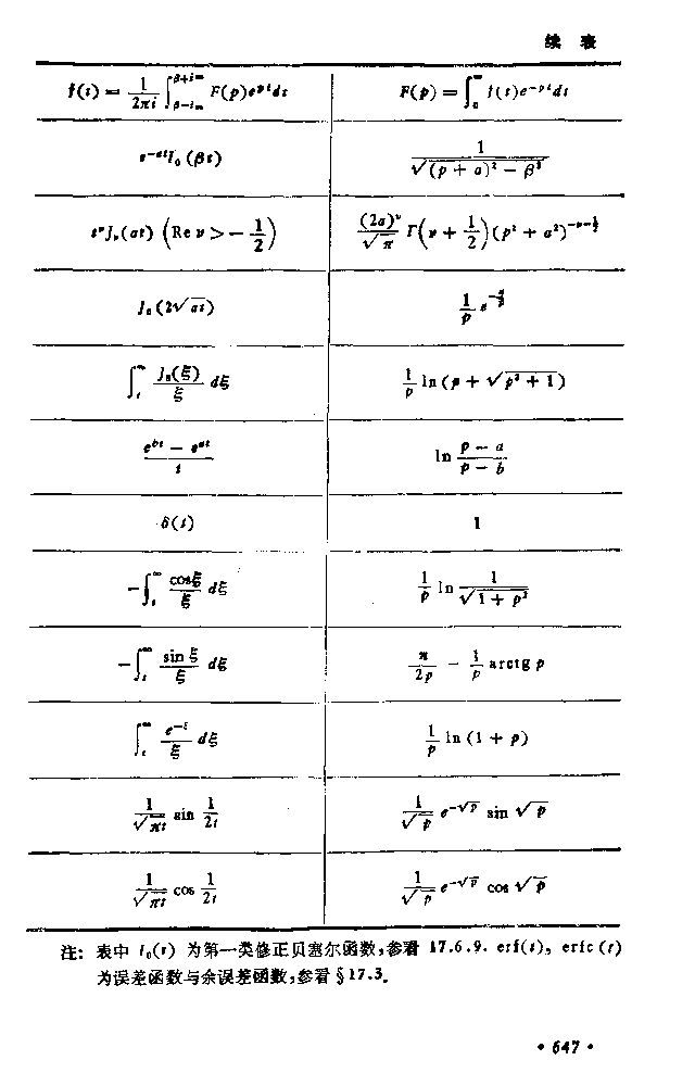
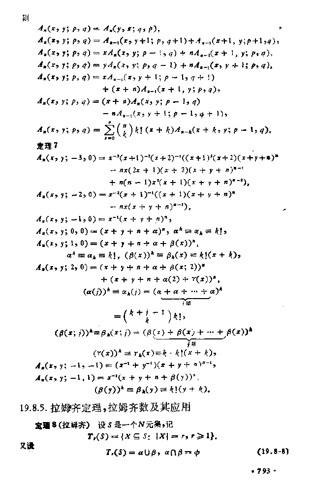
黄博士网: 教育网, AI数学手册计算器软件,电化学虚拟实验室,虚拟电化学工作站,电化学软件 首页 | 目录 | 世界 | 学科 | 文科 | 科学 | 数学 | 物理 | 化学 | 医学 | 计算 | 软件 | 帮助 | 打赏
+ + + =

《实用数学手册》

目录

1级目录 - 2级目录 - 3级目录 - 索引 - 在线阅读 

问题

请发到 论坛
参阅
  1. 数学 - 数学符号 - 数学索引
  2. 手册 = 初中数学手册 + 高中数学手册 + 数学手册 + 实用数学手册
  3. 初等数学 = 小学数学 + 中学数学 ( 初中数学 + 高中数学 )
  4. 高等数学 = 基础数学 ( 代数 + 几何 + 分析 ) + 应用数学
  5. 公式 - 定理 - - 函数图 - 曲线图 - 平面图 - 立体图 - 动画 - 画画
  6. 书单 = 数学 + 物理 + 化学 + 计算 + 医学 + 英语 + 教材 - QQ群下载书
  7. 数学手册计算器 = 数学 + 手册 + 计算器 + 计算机代数系统
  8. 检测 - 例题 :


首页 | 目录 | 论坛 | 联系 | 版权 | 关于 | 书单 | 索引 | 帮助 | ? | English